Make a machine

In thie week we built a machine that is "Chitra bot". My group members who one is electronic engineer and another is civil engineer who teach me lots of things. My technical background is mechanical engineering so my contrubution in this assignment is doing calculations of frame..calculation of forces and teach them basics of mechanics and apply on our assignment.I learn how to interface machine with any firmware.How to trouble shoot problems with getting good solution.

Firstly, we saw all Nadya's lecture.Then we follow syllabus of this week and studied different types of mechanisms.We devide that mechanisms for study taking timeline like each member has four hours to complete there study and after that he will explain to group members what they studied.! After all conclusion made that we are building "Drow bot" for this assignment.Then we saw all videos of the same on Youtube.Then we devide our work like electronic part will take Arundhati, Abhijeet and little one is me. Documentation part taken by Abhijeet. All calculations and design part taken by me.

So, We decided that we will make frameless drow bot. The material like 2 stepper motor (plotting for X-Y axis). Mekangelo firmware, four pulleys and two belt drives..

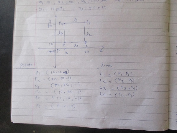
For chitra bot I made calculations of load and find out which amount of counter weight required as a dead weight.

I learn basics of G-code and discussed in detail science behind it. Like how machine works through point to point.

I make calculation about stress and decide dimentions of belt.

I also take part in assembling of machine and software interfacing.

So, I took some documentation part and assembling the machine parts. I first time edit video. I was searching number of softwares.. But Video pad software is easy to editing the video. Special thanks to Mr. Vishwas Shinde. He was guiding me during video editing.

click here to watch chitra bot video